√ 球 表面積 計算 335488-球 表面積 計算式
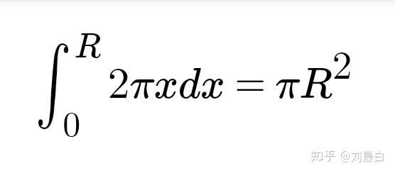
青い部分の面積 を考える. 幅は 、長さは なので, より微小な角度を考える 球全体で積分する 計算 求め方2:球の体積を用いる方法 考え方 半径 の球の表面積を とおく. この薄い球殻を集めると球体が完成する. 計算 球体の体積は なので 両辺しかしながら、円の面積はまだしも、球の体積、球の表面積の公式となると、その直感的 な把握は難しいようである。 私の周囲の方々に伺っても、「そんなの、鵜呑みにして覚えて、計算したよ~」という場合 が多い。SA = 4*pi*r^2 SA = V = 4/3*pi*r^3 V =
球的體積求導便是球的表面積 互為逆運算 降維與升維 愛經驗
球 表面積 計算式
球 表面積 計算式-球の表面積は 4×円周率×半径×半径=表面積 で求めることができます。 円周率をπ、半径をr、表面積をSとすると、 S=4πr 2 となります。 球の表面積を求める公式球面表面積の計算機 オンラインの球の表面積計算ツールは、球の表面積を見つけるのに役立ちます。 球面フォーミュラの表面積 球の表面積の計算式は次のとおりです。



球的体积求导便是球的表面积 互为逆运算 降维与升维 五四公社 自媒体学习平台
よって、球の体積Vは、円の面積をx 方向に積分すると、V=2∫0rπ(r2-x2) dxより、 V=2πr2x-(x3/3)0r=(4/3)πr3を導くことができる。 ②球の表面積の公式の求め方(1)よって球の表面積は外接円柱側面の面積に等しい、 とう趣旨を主張している。 12 節回転体の体積 任意の面を軸の回わりに回転させた回転体の体積公式は、 西洋流ではバッポス = ギュルダンの公式と呼ばれる。関も、 と (3 において、公式を4) 「体積=面積球の表面積と体積 ここでは、球の表面積と体積を求める公式を紹介しましょう。 表面積 まずは表面積です。 球の半径をr、円周率をπ、求める球の表面積をSとすると これが球の表面積を求める公式です。 体積 続いて体積です。 球の半
A = surfaceArea (shp) は、3 次元アルファ形状 shp の内部の隙間の表面積も含む総表面積を返します。 A = surfaceArea (shp,RegionID) は、アルファ形状の領域の表面積を返します。 RegionID は領域の ID で、 1 ≤ RegionID ≤ numRegions (shp) です。球 ボール 体積計算 公式 求め方 計算方法 直径 半径 自動 円周率 volume43~48行目 変数を宣言。 entyu==円柱 ensui==円錐 kyu==球 tai==体積 men==表面積 を表している。 50~52行目
球の体積 一部が欠けた球の体積 弓形の回転体の体積 一部が欠けた弓形の回転体の体積 半球台の体積 円環体の体積 楕円体の体積 一部が欠けた楕円体の体積 一部が欠けた回転楕円体の体積 正多面体の体積 n次元の球の体積よって,球帯の表面積は S = 2 π r 2 ∫ θ 1 θ 2 cos θ d θ S=2\pi r^2\int_{\theta_1}^{\theta_2}\cos\theta d\theta S = 2 π r 2 ∫ θ 1 θ 2 cos θ d θ (ただし, θ 1 \theta_1 θ 1 は球帯の底面の緯度, θ 2 \theta_2 θ 2 は球帯の天面の緯度)本頁面最後修訂於21年5月15日 (星期六) 1902。 本站的全部文字在創用CC 姓名標示相同方式分享 30協議 之條款下提供,附加條款亦可能應用。 (請參閱使用條款) Wikipedia®和維基百科標誌是維基媒體基金會的註冊商標;維基™是維基媒體基金會的商標。 維基媒體基金會是按美國國內稅收法501(c)(3



表面积体积公式大全 搜狗图片搜索



头条文章
球の表面積と体積 MATLAB コマンドの表示 半径 5 の球の表面積と体積を計算します。 r = 5;A = 面積 P = 円周(近似式) 円錐 V = 体積 A = 円錐面積 r = d/2 = 半径 三角錐 V = 体積 S = 角錐底面積 角錐 角錐 pyramid V = 体積 S = 角錐底面積 角錐台 V = 体積 (角錐台) S1 = 角錐底面積 S2 = 角錐上面積 球体 V = 体積 A = 球体の表面積 r = 球体半径球の体積や表面積と、その球がちょうど入る円柱の体積や側面積との関係を、計算結果等で 確かめ、イメージとしてもっておきましょう。 2( 1 )球の表面積を求める公式: S=4πr2 ( 2)円柱の底面の円の半径: r ,円柱の高さ: 2r (



球的体积公式推导 孤云出岫 去留一无所系 朗镜悬空 静躁两不相干 Csdn博客



求球体的表面积和体积 修也 Csdn博客
以下の語呂合わせで覚える方法が有名です: 球の表面積: 4\pi r^2 4πr2 →「心配アール二乗」 球の体積: \dfrac {4} {3}\pi r^3 34 πr3 →「身の上に心配アール三乗」半径 r の球の表面積は、次の式で求められます。 球の表面積 \begin{align*} S = 4\pi r^2 \end{align*} 表面積 = 4 ×エクセルで球の表面積を計算する方法 エクセルで球の表面積を計算する前に、まずその定義について考えていきましょう。 実は級の表面積はその球の半径をrcmとすると、円周率π(パイ:314)を用いると、 表面積=4πr^2cm^2と表現することができます。



写给5年级的学生 球公式是如何推导出来的 表面积



空间几何体的表面积与体积下载 Word模板 爱问共享资料
立体角は、半径1の球(単位球)の一部の面積で定義されていました。単位球の表面積は $4\pi$ なので、立体角は、$0$ 以上 $4\pi$ 以下です。 「$4\pi$ ステラジアン」は「全方位」に対応する立体角です。 立体角の計算例まずは、「球の体積」と「球の表面積」を計算する公式の確認をしましょう。 球の体積 半径\(r\)の球の体積\(V\)は $$V = \frac{4}{3} \pi r^3$$ で与えられます(\(\pi\)は円周率) 球の表面積 半径\(r\)の球の表面積を\(S\)は $$S = 4 \pi r^2$$ で与えられます(\(\pi\)は円周率)。地球の表面積は何km 2 か。球の表面積は,表面積 = 4 x 円周率 x 半径 2 で求められる。 地球表面のおよそ7割は海である。陸地面積を求めよ。 陸地面積のおよそ3割が森林である。森林面積を求めよ。 日本の国土の面積はkm 2 である。陸地面積と世界の



球的表面积例题 球的表面积和体积公式是什么 三人行教育网 Www 3rxing Org



写给5年级的学生 球公式是如何推导出来的 表面积
球の表面積を求める公式は、次の通りです。 S = 4πr2 S = 4 π r 2 ここで、S は球の表面積、π は円周率、r は球の半径を表します。円柱の体積と表面積を求めるクラス。 15~28行目 円錐の体積と表面積を求めるクラス。 29~39行目 球の体積と表面積を求めるクラス;楕円錐台の底面と上面の半軸と高さから体積、側面積、表面積を計算します。 球の体積 球の体積 球の半径から体積と表面積を計算します。 一部が欠けた球の体積 一部が欠けた球の体積 一部が欠けた球の体積と表面積を計算します。



球體積的前世今生 每日頭條



球的表面积和体积 腾讯视频
球の表面積 量計算 数学教育 球の表面積の計算は,つぎの2つの適用である: 区分求積 長方形の面積の計算公式 いま,半径rの球面を考える: これの面積を,つぎの区分求積で考える: このとき,図のスライスの面積は,ヨコが 2πrcosx でタテが rΔxなので、球の表面積は、 (大円の周の長さ)×(球帯の高さ)= 4πr 2 また 、球冠については次のような驚嘆に値する美しい公式が成り立つ。クラスに対応して,クラス名の付いた class ファイルが出来る. Sample7class を起動することで,Circleclass,Ballclass を動的にリンク (呼び出しの対応付け) して実行を行う. コンパイルと実行の例 (下線部は入力を示す) % dir Sample7java % javac Sample7java % dir Ball



球的体积和表面积 腾讯视频



球体积计算公式
2θで見込む部分の球の表面積の計算 matsubayashi 0748 フォローしました ジャイアントユニラメラベシクル(GUV)などの球体の表面で分子が拡散する場合、どれくらい広がって見えるのか、面積と角度の関係を知りたかったので高校数学に戻って計算N=3 V=4/3*πr^3 (球の体積), S=4πr^2 (球の表面積) 4次元以上の球の体積や表面積の計算は、統計力学や量子力学などで使われています。体積・表面積の公式や求め方、証明(積分)と計算問題 この記事では、「球」の公式(体積・表面積)や求め方をできるだけわかりやすく解説していきます。 また、なぜ公式が成り立つかも証明していきます。 この記事を通してぜひマスターして



面积



各种体积计算公式下载 Word模板 爱问共享资料
立体の体積(V),表面積(S)または側面積(F)および重心位置(G) 球欠 P12 単位換算 公式計算 平面図形の面積(A),周長(L)および重心位置(G) P11 平面図形の性質 P12 立体の体積(V),表面積(S)または側面積(F)および重心位置(G



中学数学 球の表面積の求め方の公式を1発で覚える方法 Qikeru 学びを楽しくわかりやすく



椭球体表面积公式 椭球表面积怎么算 三人行教育网 Www 3rxing Org



球的体积与表面积计算公式的推导 哔哩哔哩 つロ干杯 Bilibili



18 8 2 準高三預備試題十三 表面積和體積的計算 1 附詳答 雪花新闻



设圆半径r 1 5 圆柱高h 3 求圆周长 圆面积 圆球



悟空问答 为什么球的体积是4 3pr 3 这里为什么是4 3 有什么特别的地方吗 19个回答



球体表面积公式 怎样计算球体的表面积



各類幾何體的體積與表面積的計算問題 每日頭條



多面体的体积和表面积及常用图形求面积计算公式大全 文档库



球冠表面積公式 計算方法 注意事項 中文百科全書



1



球的表面积 腾讯视频



無料ダウンロード球表面積公式 ページを着色するだけ



圆球表面积计算器软件 圆球表面积计算器下载 V1 0 计算器下载站



表面积体积公式大全 搜狗图片搜索



圆球体积计算公式球体积公式球的体积计算公式为43pr3 求半径为3 5cm的球的体积 P取3 14 结果保留五个有效数字 爱华网



椭圆球表面积公式球体表面积公式



球體表面積及體積的推導 每日頭條



胶囊罐体 球冠高等于柱体半径 体积 表面积计算公式 三贝计算网 23bei Com



球的体积公式和表面积公式 高三网



球體的體積球體 360百科翻譯此網頁 Gahzw



为什么计算圆的周长与面积 球的表面积与体积 使用的都是p 而不是三个不同的数 是偶然还是必然 知乎



球的體積求導便是球的表面積 互為逆運算 降維與升維 愛經驗



通過變量計算球體體積和表面積 每日頭條



球的体积求导便是球的表面积 互为逆运算 降维与升维 五四公社 自媒体学习平台



Q Tbn And9gcqzkudsal3galmxwro65pdnhz6flxjjkxas5i6eaqlha2sgymk7 Usqp Cau



为何对圆周长公式积分无法得到球表面积公式 知乎



球壳表面积计算公式下载 Word模板 爱问共享资料



用积分推导球的表面积有哪些方法 知乎



球体表面积公式 100查分网



圆球表面积计算器软件 圆球表面积计算器下载 V1 0 计算器下载站



如何不用微积分算个球 网易订阅



为什么计算圆的周长与面积 球的表面积与体积 使用的都是p 而不是三个不同的数 是偶然还是必然 知乎



创建类mymath 计算圆的周长 面积和球的表面积 体积 结果保留两位小数 若输入的是非数字 则输出 请输入数字 提示 要引入math包 丁七岁的博客 程序员宅基地



球的表面积公式是什么 球体积 表面积公式是



60分 童生段学生 计算长方体外接球表面积 知乎



球冠体积公式推导 请问在不知道球半径的情况下 怎么计算球冠的面积和体积 图片上这种面积怎么算 三人行教育网 Www 3rxing Org



球的表面积公式 球的表面积公式画法



球的体积公式 万图壁纸网



球的表面积公式是什么 球体积 表面积公式是



Q Tbn And9gctku R5xzpdmwkdjs1wzabajezbi10itywbdbzcvyi Usqp Cau



圆球表面积计算器软件 圆球表面积计算器下载 V1 0 计算器下载站



二重积分求球体积 如何用二重积分求球体的体积 三人行教育网 Www 3rxing Org



用感覺理解球體表面積公式 Youtube



Gsp5l12yi9ehbm



常用体积计算公式 电子工程世界



微积分计算球的表面积如何推算出球的表面积



面积体积计算软件 面积体积计算软件下载v1 0免费版 Pc6下载



3种方法来计算球体的半径



试题 球冠表面积计算公式下载 Word模板 爱问共享资料



球體積計算球體體積計算器 Rkdof



如何计算球的体积 5 步骤



球剖体积的计算公式 一个球半径为1 3 沿一半径30厘米处做一剖面 求球体被切后剩下部分的体积 三人行教育网 Www 3rxing Org



1



求两个球的体积并 Starlet Kiss的博客 Csdn博客



球体表面积 搜狗百科



球的体积微分公式 的博客 Csdn博客



球の体積と表面積 公式と計算問題と証明 Irohabook



球的体积公式 球的体积公式画法



面积体积计算软件下载 面积体积计算下载v1 0绿色免费版 多多软件站



为何对圆周长公式积分无法得到球表面积公式 知乎



Matlab计算半径从1到10的一组球的表面积和体积肿么编程 Zol问答



如何不用微积分算个球 网易订阅



头条文章



Scratch3 0计算球体体积和表面积 有间学堂 博客园



球的表面积公式球的表面积计算公式



球体表面积公式 100查分网



網路計算器藥師好幫手



常用体积计算公式 电子工程世界



椭圆体 椭球体体积 表面积计算公式与在线计算器 三贝计算网 23bei Com



圆球表面积 球体表面积的公式证明 篆体字转换器



1 1 6棱柱 棱锥 棱台和球的表面积 人教版高中必修2 B版 数学电子课本 数九网



Vb实验 计算球的体积与表面积 隔壁老王521的博客 Csdn博客



面积体积计算软件下载 面积体积计算下载v1 0绿色免费版 多多软件站



圆球表面积公式推导球体的体积公式 表面积公式的推导



用微积分解答半径为a的球的表面积 作业 慧海网



常用体积计算公式 电子工程世界



球的表面积和体积 腾讯视频



高考数学考点之空间几何体的表面积和体积 王羽课堂



面积体积计算软件 面积体积计算软件下载v1 0 免费版 安下载



如何计算球的体积 5 步骤



圆球表面积计算器软件 圆球表面积计算器下载 V1 0 计算器下载站



Led屏各种面积计算 办法汇总点击查看 临沂led Led显示屏 临沂全彩显示屏 枣庄led 泰安led 日照led大屏幕 航空箱 航空箱厂家 航空箱生产厂家 山东鹰视电子科技有限公司



Java计算圆锥体积 如何求球的体积与表面积 五犬的博客 程序员宅基地 程序员宅基地



立体图形的表面积和体积的计算方法及公式 立体图形的表面积和体积 奥数网



球的体积及表面积怎么算如何用 Cad 计算



球的表面积计算公式球的表面积与体积计算公式 学习问题 100教育家长学院



高考数学考点之空间几何体的表面积和体积 王羽课堂



14 平面及立體圖形 立體圖形的表面積及體積 齊齊溫



球的表面积公式 球的表面积公式画法
コメント
コメントを投稿